Motion VII

(Speed, Velocity and Acceleration III)
Velocity-time graph

A velocity time graph is a graphical representation of the velocity covered by a body in motion per unit time. The area under a velocity time graph is displacement and the slope gives the acceleration of the body in motion. $$ \text{where, slope} = \frac{∆v}{∆t} $$

Types of velocity-time graph
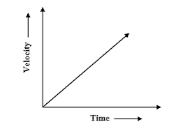
  1. Graph of a uniformly accelerating body

If a body undergoing motion starts from rest or accelerates uniformly from a point x, the velocity time graph for this motion is shown below:

/images/download (1).png $$ a = \frac{{v_2} - {v_1}}{{t_2} - {t_1}} $$ $$\text{the distance covered is given by:} $$ $$ s = \text{area of a triangle} $$ $$ s = \frac{1}{2}bh $$ $$ where, $$ $$ b = {t_2} - {t_1} $$ $$ h = {v_2} - {v_1} $$
  1. Graph of a body undergoing uniform velocity in a straight line

When a body maintains uniform speed over a period of time. The velocity time graph is given below:

$$ speed = \frac{distance}{time} $$ $$\text{The distance covered is given by: } $$ $$ s = \text{area of a rectangle} $$ $$ s = l × b $$ $$ where, $$ $$ l = h = {v_2} - {v_1} $$ $$ b = {t_2} - {t_1} $$
  1. Graph of a body undergoing uniform decceleration or retardation

The graph for a body undergoing uniform decceleration or retardation is given below:

/images/images (24).png $$ retardation = \frac{∆v}{∆t} $$ $$ \text{retardation is always negative} $$ $$\text{The distance covered is given by} $$ $$ s = \frac{1}{2}bh $$
Combination of motion

A body can undergo both acceleration and uniform deceleration or a combination of the three motions. The distance covered in the velocity time graph is the area of the shape of the graph or a combination of shapes.

The distance covered by a body which accelerates uniformly from rest, maintains a uniform speed and decelerates uniformly to rest at different time intervals as shown in the diagram below is given by:

$$ s = \frac{1}{2}(a+ b) × V $$ $$ s = \text{area of a trapezium}$$ $$ where, $$ $$ b = \text{total time} $$ $$ a = \text{time taken for uniform velocity} $$
Calculations

Example 1: A car starts from rest at a check point A and comes to rest at the next check point B, 6km away in 3 mins. It has first a uniform acceleration for 40s then a constant speed and it is brought to rest with a uniform retardation after 20s. Sketch a velocity time graph for the motion. Determine the

  1. Maximum speed
  2. Retardation
  3. (NECO)

Solution

The maximum speed is given by: $$ \text{total distance} = 6km = 6000m $$ $$ \text{total time} = 3 mins = 3 × 60 = 180s $$ $$ \text{if s} = \frac{1}{2}(a +b) × V $$ $$ V = \frac{2s}{(a+b)} $$ $$ V = \frac{2 × 6000}{(120 + 180)} $$ $$ V = \frac{12000}{300} $$ $$ V = 40m/s $$

  1. $$ Retardation = \frac{∆v} {∆t} $$ $$ Retardation = \frac{0- 40}{180-160} $$ $$ Retardation = -2m/s² $$


Example 2: A particle moving in a straight line with uniform deceleration, has a velocity of 40m/s at a point P, 20m/s at a point Q and come to rest at a point R, where QR=50M.calculate the

  1. distance PQ
  2. Time taken to cover PQ
  3. Time taken to cover PR
  4. (WAEC)

Solution

Since the body undergoes uniform decceleration, At QR, s = 50m $$ hence, $$ $$ v² = u² + 2as $$ $$ u = 20m/s \text{( vel. at Q)} $$ $$ v = 0 \text{( body comes to rest)} $$ $$ 0 = 20² - 2 × a × 50 $$ $$ a = \frac{400}{(2 × 50)} $$ $$ a = 4m/s² $$ $$ a = (-)4m/s² $$ $$\text{ since the body is decelerating} $$

  1. To calculate distance PQ
$$ v² = u² + 2as $$ $$ v = 20m/s $$ $$ u = 40m/s $$ $$ 20² = 40² + 2 × (-4) × s $$ $$ s = \frac{-1200}{-8} $$ $$ s = 150m $$
  1. Time taken to cover PQ
$$ v = u + at $$ $$ 20 = 40 + (-4) × t $$ $$ t = \frac{-20}{-4} $$ $$ t = 5s $$
  1. Time taken to cover PR
$$ v = u + at $$ $$ v = 0 $$ $$ u = 40 $$ $$ 0 = 40 + (-4)t $$ $$ t = \frac{-40}{-4} $$ $$ t = 10s $$

Example 3:The diagram above illustrates the velocity-time graph of the motion of a body. Calculate the total distance covered by the body

Solution

$$ \text{Total distance} = \text{area of the graph} $$ $$ \text{Distance of A} = \text{Area of trapezium} $$ $$ s = \frac{1}{2}(a+b) × c $$ $$ where, \text{ a} = 10 $$ $$ b = 20 $$ $$ c = 5 $$ $$ s = \frac{1}{2}(20 + 10) × 5 $$ $$ s = 75m $$ $$ \text{Distance covered at B} $$ $$ s = \text{area of a rectangle} = l × b $$ $$ = 20 × 5 = 100m $$ $$\text{Distance covered at C} $$ $$ s = \text{area of a triangle} = \frac{1}{2}bh $$ $$ s = \frac{1}{2}×5 × 20 $$ $$ s = 50m $$ $$ \text{Total distance} = 100 + 50 + 75 $$ $$ \text{Total distance} = 225m $$
Summary