Gravitational Field I
Definition

Gravitational field can be defined as the region or space in which a unit mass in relation to other bodies will be influenced by gravitational force.

The gravitational force per unit mass that would be exerted on a small test mass at that point is defined as the gravitational field. It is a vector field, and points in the direction of the force that a small test mass would feel at that point.


Universal law of gravitation

Newton’s Law of Universal Gravitation states that every particle attracts every other particle in the universe with a force directly proportional to the product of the masses and inversely proportional to the square of the distance between them.


The formula for gravitational force is given by :


where G = 6.67 x 10-11Nm²/kg²


Calculations

Example 1: Given that the gravitational constant is 7 × 10-11Nm²Kg-2 , what is the force of the attraction between 10⁶kg mass of lead hanging one meter away from a 10³kg mass of iron? WAEC

Solution


Example 2: A missile weighing 400N on the earth's surface is shot into the atmosphere to an altitude of 6.40 × 10⁶m. Taking the earth as a sphere of radius 6.4 × 10⁶m and assuming inverse square law of universal gravitation.What will be the weight of the missile at the altitude? WAEC

Solution


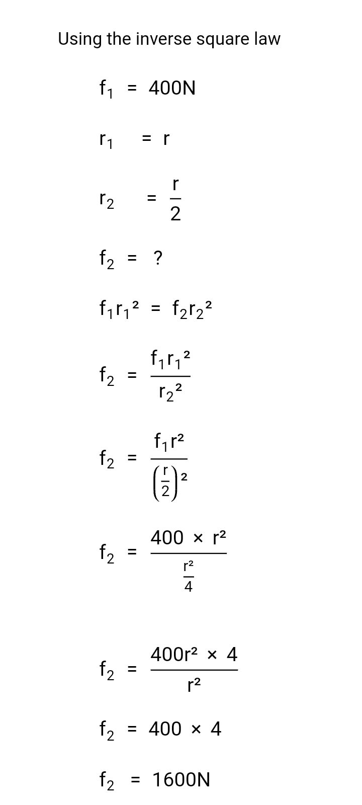
Example 3: A force of 400N acts between two objects at a certain distance apart. The value of the force when the distance is halved?

Solution

Universal Law of Gravitation Calculator

Enter the parameters for masses and radius to find gravitational force, to find radius enter the values for force and leave the last section blank....use e as exponential on the calculator to solve questions having exponential values....G is an inbuilt function = 6.67 x 10 -11 Nm²/kg²
Summary